朱浜村
返回昆山市e阳光财务公开平台
搜索
朱浜村
首页
了解
朱浜村
朱浜村概况
履职清单
任期目标
网格化管理服务
村盖章事项名录
办事指南
财务公开
招标信息
交易公告
成交信息
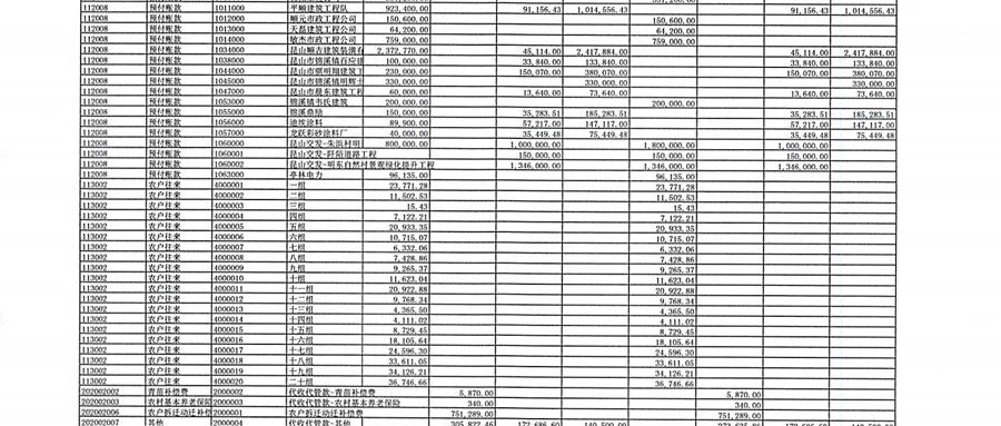
2022年朱浜村第一度财务公开资料
【时间:2022/6/23 11:37:45】【作者:杨雅雯】
2022年朱浜村第一度财务公开资料
返回财务类公开
关闭窗口
版权所有 © 昆山市e阳光财务公开平台
返回首页
苏ICP备17061219号