车塘社区
返回昆山市e阳光财务公开平台
搜索
车塘社区
首页
了解
车塘社区
车塘社区概况
履职清单
任期目标
网格化管理服务
村盖章事项名录
办事指南
财务公开
招标信息
交易公告
成交信息
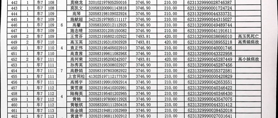
2024年合作社盈余返还(股金分红)1
【时间:2025/3/24 10:38:16】【作者:车塘】
2024年合作社盈余返还(股金分红)1
返回财务类公开
关闭窗口
版权所有 © 昆山市e阳光财务公开平台
返回首页
苏ICP备17061219号